FIG. | Lugares de muestreo, distribuidos entre las provincias de Loja (gris claro) y Zamora Chinchipe (gris oscuro)
La COVID 19 es una infección respiratoria aguda de origen viral que causó una pandemia global a finales del año 2019, y que en solo un año causó 36 401 583 contagios y más de un millón de fallecidos. La pandemia de la COVID 19 fue producida por la infección del SARS COV 2, un virus de origen zoonótico, lo que quiere decir que, ha tenido su origen en otros animales con los que el humano ha tenido contacto.
Las evidencias apuntan a que el SARS COV 2 evoluciona a partir de un virus primordial en murciélagos en el sudeste asiático, el mismo que a nivel genético sugiere su paso por un intermediario antes de infectar a los humanos, diferentes estudios mencionan que se pudo haber tratado del pangolín, las civetas o gatos ferales. Finalmente, producida la infección interespecífica de este intermediario a los humanos, el virus se propaga con una tasa de contagio más alta que el virus del MERS (MERS Cov) o incluso que el virus del SARS (SARS Cov) original identificado en el 2002 en la provincia de Guangdong, China.
Al momento más de cien individuos de las especies Desmodus rotundus, Anoura geoffroyi, Carollia sp, Enchisthenes hartii y Carollia perspicillata, ha sido capturados y analizados mediante la técnica de RT-qPCR, provenientes de las provincias de Loja y Zamora Chinchipe. La tasa de positividad/negatividad ha sido evaluada en asociación con diferentes variables como el sexo del espécimen muestreado, la posición geográfica/altitudinal y algunos otros coronavirus comunes en presentes en humanos.

FIG. | Trabajo de campo de muestreo junto a la colaboración de especialistas de Agrocalidad.
El presente proyecto se realiza en colaboración con instituciones como: Universidad Técnica Particular de Loja, Agrocalidad y el Instituto Nacional de Investigación en Salud Pública.

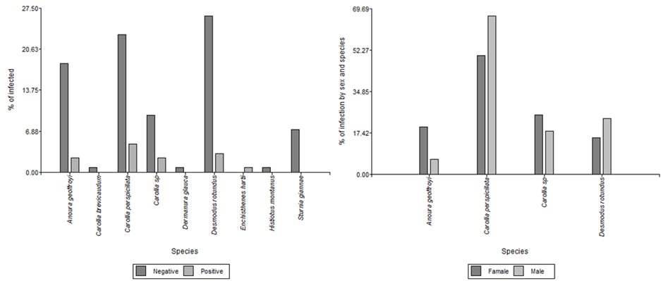
FIG. | (a).Porcentaje de especies infectadas con SARS-CoV-2, muestran un resultado estadísticamente no significativo mediante la prueba de Chi-cuadrado (valor de p < 0,05; valor de p = 0,426). (b). Porcentaje de infección por SARS-CoV-2 por sexo y especie, sin mostrar diferencias estadísticamente significativas entre las variables (valor de p < 0,05; valor de p = 0,643).

